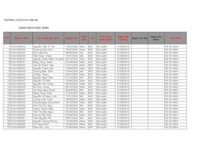
TRƯỜNG THCS CHU VĂN AN DANH SÁCH HỌC SINH STT Mã học sinh Họ và tên học sinh Ngày sinh Lớp Ngày vào đội Tỉnh thành 1 CVA1506235 Nguyễn Trần Trí An 13/02/2004 Nam 6A7 Xét tuyển 01/08/2015 Hồ Chí Minh 2 CVA1506236 Trương Quốc Anh 18/07/2004 Nam 6A7 Xét tuyển...
More
TRƯỜNG THCS CHU VĂN AN DANH SÁCH HỌC SINH STT Mã học sinh Họ và tên học sinh Ngày sinh Lớp Ngày vào đội Tỉnh thành 1 CVA1506235 Nguyễn Trần Trí An 13/02/2004 Nam 6A7 Xét tuyển 01/08/2015 Hồ Chí Minh 2 CVA1506236 Trương Quốc Anh 18/07/2004 Nam 6A7 Xét tuyển 01/08/2015 Hồ Chí Minh 3 CVA1506237 Đỗ Tuyết Ánh 06/08/2004 Nữ 6A7 Xét tuyển 01/08/2015 Hồ Chí Minh 4 CVA1506239 Trần Hoàn Châu 12/01/2004 Nữ 6A7 Xét tuyển 01/08/2015 Hồ Chí Minh 5 CVA1506240 Nguyễn Đoàn Nhất Chuyên 04/12/2003 Nam 6A7 Xét tuyển 01/08/2015 Hồ Chí Minh 6 CVA1506241 Đặng Công Danh 23/03/2004 Nam 6A7 Xét tuyển 01/08/2015 Hồ Chí Minh 7 CVA1506242 Cao Ta Thành Đạt 21/01/2004 Nam 6A7 Xét tuyển 01/08/2015 Hồ Chí Minh 8 CVA1506243 Nguyễn Thành Đạt 10/06/2003 Nam 6A7 Xét tuyển 01/08/2014 Hồ Chí Minh 9 CVA1506244 Trương Mẫn Đình 15/04/2004 Nữ 6A7 Xét tuyển 01/08/2015 Hồ Chí Minh 10 CVA1506245 Lê Bảo Giang 02/07/2004 Nam 6A7 Xét tuyển 01/08/2015 Hồ Chí Minh 11 CVA1506246 Nguyễn Ngọc Hân 01/10/2004 Nữ 6A7 Xét tuyển 01/08/2015 Hồ
Less