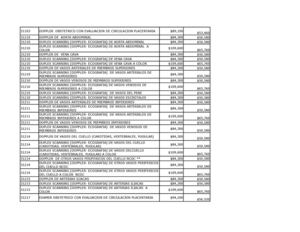
31103 DOPPLER OBSTETRICO CON EVALUACION DE CIRCULACION PLACENTARIA $89,100 $53,460 31210 DOPPLER DE AORTA ABDOMINAL $84,300 $50,580 31210 DUPLEX SCANNING [DOPPLER- ECOGRAFIA] DE AORTA ABDOMINAL $84,300 $50,580 31210 $109,600 $65,760 31210 DOPPLER DE VENA...
More
31103 DOPPLER OBSTETRICO CON EVALUACION DE CIRCULACION PLACENTARIA $89,100 $53,460 31210 DOPPLER DE AORTA ABDOMINAL $84,300 $50,580 31210 DUPLEX SCANNING [DOPPLER- ECOGRAFIA] DE AORTA ABDOMINAL $84,300 $50,580 31210 $109,600 $65,760 31210 DOPPLER DE VENA CAVA $84,300 $50,580 31210 DUPLEX SCANNING [DOPPLER- ECOGRAFIA] DE VENA CAVA $84,300 $50,580 31210 DUPLEX SCANNING [DOPPLER- ECOGRAFIA] DE VENA CAVA A COLOR $109,600 $65,760 31210 DOPPLER DE VASOS ARTERIALES DE MIEMBROS SUPERIORES $84,300 $50,580 31210 $84,300 $50,580 31210 DOPPLER DE VASOS VENOSOS DE MIEMBROS SUPERIORES $84,300 $50,580 31210 $109,600 $65,760 31210 DUPLEX SCANNING [DOPPLER- ECOGRAFIA] DE VASOS DEL PENE $84,300 $50,580 31210 DUPLEX SCANNING [DOPPLER- ECOGRAFIA] DE VASOS ESCROTALES $84,300 $50,580 31211 DOPPLER DE VASOS ARTERIALES DE MIEMBROS INFERIORES $84,300 $50,580 31211 $84,300 $50,580 31211 $109,600 $65,760 31211 DOPPLER DE VASOS VENOSOS DE MIEMBROS INFERIORES $84,300 $50,580 31211 $84,300 $50,580 31214 DOPPLER DE
Less