1 Gn 1-2 Sl 1 Mt 1-2 Ex 13-14 Sl 32 Mc 12 Lv 26-27 Sl 60 Lc 24 2 Gn 3-4 Sl 2 Mt 3-4 Ex 15-16 Sl 33 Mc 13 Nm 1-2 Sl 61 Jo 1 3 Gn 5-7 Sl 3 Mt 5 Ex 17-18 Sl 34 Mc 14 Nm 3-4 Sl 62 Jo 2-3 4 Gn 8-9 Sl 4 Mt 6-7 Ex 19-20 Sl 35 Mc 15 Nm 5-6 Sl 63 Jo 4 5 Gn 10-11 Sl...
More
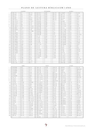
1 Gn 1-2 Sl 1 Mt 1-2 Ex 13-14 Sl 32 Mc 12 Lv 26-27 Sl 60 Lc 24 2 Gn 3-4 Sl 2 Mt 3-4 Ex 15-16 Sl 33 Mc 13 Nm 1-2 Sl 61 Jo 1 3 Gn 5-7 Sl 3 Mt 5 Ex 17-18 Sl 34 Mc 14 Nm 3-4 Sl 62 Jo 2-3 4 Gn 8-9 Sl 4 Mt 6-7 Ex 19-20 Sl 35 Mc 15 Nm 5-6 Sl 63 Jo 4 5 Gn 10-11 Sl 5 Mt 8-9 Ex 21-22 Sl 36 Mc 16 Nm 7 Sl 64 Jo 5 6 Gn 12-13 Sl 6 Mt 10-11 Ex 23-24 Sl 37 Lc 1 Nm 8-9 Sl 65 Jo 6 7 Gn 14-15 Sl 7 Mt 12 Ex 25-26 Sl 38 Lc 2 Nm 10-11 Sl 66 Jo 7 8 Gn 16-17 Sl 8 Mt 13 Ex 27-28 Sl 39 Lc 3 Nm 12-13 Sl 67 Jo 8 9 Gn 18-19 Sl 9 Mt 14-15 Ex 29-30 Sl 40 Lc 4 Nm 14-15 Sl 68 Jo 9 10 Gn 20-21 Sl 10 Mt 16-17 Ex 31-32 Sl 41 Lc 5 Nm 16 Sl 69 Jo 10 11 Gn 22-23 Sl 11 Mt 18 Ex 33-34 Sl 42 Lc 6 Nm 17-18 Sl 70 Jo 11 12 Gn 24 Sl 12 Mt 19-20 Ex 35-36 Sl 43 Lc 7 Nm 19-20 Sl 71 Jo 12 13 Gn 25-26 Sl 13 Mt 21 Ex 37-38 Sl 44 Lc 8 Nm 21-22 Sl 72 Jo 13 14 Gn 27-28 Sl 14 Mt 22 Ex 39-40 Sl 45 Lc 9 Nm 23-24 Sl 73 Jo 14-15 15 Gn 29-30 Sl 15 Mt 23 Lv 1-2 Sl 46 Lc 10 Nm 25-26 Sl 74 Jo 16 16 Gn 31-32 Sl 16 Mt 24 Lv 3-4 Sl 47 Lc 11 Nm 27-28 S
Less