DISTRIBDORA LTDA NIT: 900275140
ARTICULO: ZAPATOS PARA CABALLERO REFERNCIA: LK-15 LOCALIZACION: SALA EXHIBICION 4
PROVEEDORES: ALMACENES MEDIO DIA CODIGO: 2540 UNIDAD:
MINIMO:
10 MAXIMO: 500
fecha DESCRIPCION
VALOR
UNITARIO ENTRADAS SALIDAS SALDO
CANIDAD...
More
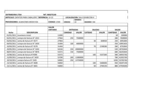
DISTRIBDORA LTDA NIT: 900275140
ARTICULO: ZAPATOS PARA CABALLERO REFERNCIA: LK-15 LOCALIZACION: SALA EXHIBICION 4
PROVEEDORES: ALMACENES MEDIO DIA CODIGO: 2540 UNIDAD:
MINIMO:
10 MAXIMO: 500
fecha DESCRIPCION
VALOR
UNITARIO ENTRADAS SALIDAS SALDO
CANIDAD VALOR CATIDAD VALOR CANTIDAD VALOR
01/01/2011 inventario inicial 11000 30 330000
02/01/2011 compra de factura N° 1015 27964 250 7500000 280 7830000
03/02/2011 venta de factura N° 4577 27964 30 838920 250 6991000
04/03/2011 compra de factura N° 3459 31404 100 4000000 350 10991403
10/04/2011 venta de factura N° 4578 31404 70 2198280 280 8792840
20/05/2011 compra de factura N° 3245 54326 250 20000000 530 28792840
08/07/2011 compra de factura N° 9876 53372 150 7500000 680 36292840
15/08/2011 venta de factura N°4590 53372 100 5337200 580 30955760
15/09/2011 compa de factura N° 3459 53789 200 11000000 780 41955760
10/10/2011 compra factura N° 2345 54083 250 13750000 1030 55705760
15/10/2011 venta de factura N° 4600 54083 100 5408300 930 5029
Less