LISTADO DE INSTITUCIONES EDUCATIVAS - RDE Nº 3641-2014/MIDIS/PNAEQW (ACTUALIZADO) IE's 64,947 1 FECHA DE ACTUALIZACIÓN: 10-10-2014 Usuarios ###### 1 Base de Datos iCodCol egio Provincia Distrito Centro Poblado Codigo Modular Codigo Local nombre Direccion...
More
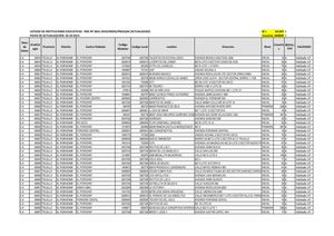
LISTADO DE INSTITUCIONES EDUCATIVAS - RDE Nº 3641-2014/MIDIS/PNAEQW (ACTUALIZADO) IE's 64,947 1 FECHA DE ACTUALIZACIÓN: 10-10-2014 Usuarios ###### 1 Base de Datos iCodCol egio Provincia Distrito Centro Poblado Codigo Modular Codigo Local nombre Direccion Nivel Usuario s MODALI DAD VALIDADO I-II 88916 TRUJILLO EL PORVENIR EL PORVENIR 2927346 2927346 TALENTOS EN ACCION+L30313 AVENIDA MICAELA BASTIDAS 2240 INICIAL 14 A Validado UT I-II 88918 TRUJILLO EL PORVENIR EL PORVENIR 2925013 2925013 LUCERITOS DEL SABER MZ B LOTE 5 SECTOR CIUDAD DE DIOS INICIAL 23 A Validado UT I-II 88919 TRUJILLO EL PORVENIR EL PORVENIR 1379205 253262 81776 LOS LAURELES MZ R LOTE 1- ETAPA I INICIAL 75 A Validado UT I-II 88920 TRUJILLO EL PORVENIR EL PORVENIR 1655687 737241 2197 UNIDAD VECINAL 5 INICIAL 15 A Validado UT I-II 88921 TRUJILLO EL PORVENIR EL PORVENIR 2925015 2925015 MI MUNDO MAGICO AVENIDA REVOLUCION 1701 SECTOR GRAN CHIMU INICIAL 20 A Validado UT I-II 88922 TRUJILLO EL PORVENIR EL PORVENIR 1591023 2527
Less