Informacion personal
cod Nombre D.
T Cargo Domicilio Telefono
1 Castellano Daniela 52,698,741 Gerente calle 58 457 78g sur 4578966 8/06/2011 12/8/1990
2 Diaz Martin 59,632,145 Jefe de mercadeo Diagonalo 78 25 c 69 7455890 9/07/2010 5/9/1976
3 Fernandez...
More
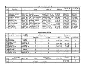
Informacion personal
cod Nombre D.
T Cargo Domicilio Telefono
1 Castellano Daniela 52,698,741 Gerente calle 58 457 78g sur 4578966 8/06/2011 12/8/1990
2 Diaz Martin 59,632,145 Jefe de mercadeo Diagonalo 78 25 c 69 7455890 9/07/2010 5/9/1976
3 Fernandez Mauricio 79,658,741 Jefe Talento humano carrera 42 h 58 f 45 8600666 10/06/2005 2/10/1980
4 Perez Ana 65,478,965 Asesor Comercial Calle 105 c 85 7 5333633 11/06/2003 11/24/1990
5 Ramirez Julian 44,256,987 Asesora Comercial carrera 47 b 58 4 7225874 12/06/2007 3/9/1976
6 Romero Karen 12,605,705 Seguiridad Trans 48 d 85 12 2458769 20/10/2001 9/16/1979
7 Martinez Crstian 51,458,796 Servicios generales calle 98 c 45 07 7785469 14/06/2008 9/8/1979
8 Ortiz Angie 41,256,987 Asesora Comercial carrera 56 c sur 45 d78 9874563 15/05/2009 3/29/1986
9 Parra Andres 26,985,478 Asistente Adminis calle 53 d 87 45 5705592 16/09/2006 27/14/1985
10 Castillo David 18,745,632 Asistente Adminis carrera 78 a 56c8 7422118 17/06/2011 8/30/1976
Informacion Laboral
Less