Attorney Brad Baugh Fee Churning Allegations: Leaked Client Billing Statement - Divorce Lawyer Bradford Baugh San Jose California - Santa Clara County Superior Court - Judge James Towery - Judge Patricia Lucas
Read

Attorney Brad Baugh Fee Churning Allegations: Leaked Client Billing Statement - Divorce Lawyer Bradford Baugh San Jose California - Santa Clara County Superior Court - Judge James Towery - Judge Patricia Lucas

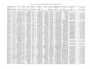
Whistleblower leaked billing statement showing $266,968 in fees and costs to get a divorce. Attorney Brad Baugh of Baugh & Amini, 1550 The Alameda, Suite 155, San Jose CA 95126. How attorney fee churning works is described in this YouTube video:... More

Read the publication