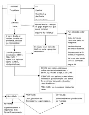
Actividad
Tecnológica
Es:
Creativa
Organizada y
planificada
Un saber hacer
Actividad
Social
A través de ella, el
hombre, resuelve sus
problemas, satisface
sus necesidades y
deseos.
Creando productos
tecnológicos: BIENES,
PROCESOS Y
SERVICIOS.
Que dan...
More
Actividad
Tecnológica
Es:
Creativa
Organizada y
planificada
Un saber hacer
Actividad
Social
A través de ella, el
hombre, resuelve sus
problemas, satisface
sus necesidades y
deseos.
Creando productos
tecnológicos: BIENES,
PROCESOS Y
SERVICIOS.
Que dan
lugar a cambios,
efectos positivos y
negativos.
Que
Que es llevada a cabo por
un grupo de personas que
puede formar un
EQUIPO DE TRABAJO Para ello debe contar
con:
Metas de trabajo
comunes o todos sus
integrantes.
Habilidades para
desarrollar las tareas.
Buena comunicación
entre sus integrantes.
Recursos para llevar a
cabo las actividades.
Reglas de
Un lugar y en un contexto
histórico, social y geográfico
determinado.
Necesidade
s
PRIMITIVAS:
Cazar, protección de
depredadores, ocupar espacios.
ACTUALES:
Dominar territorios y construcción
de viviendas.
FUTURAS:
Superpoblaciones e
importancia de la
formación permanente.
BIENES: son medios, objetos que
satisfacen nuestras necesidades y
deseos.
Ej.
: el auto, la ropa, la casa, etc.
Less